滚子轴承的寿命如何计算?关键在于将滚子-滚道接触区划分为若干薄片,逐片分析其疲劳寿命,再综合求和。这种基于薄片划分的方法,能够更精细地反映局部载荷分布的影响,为滚子轴承的可靠性评估提供了理论基础。
滚子轴承的寿命

轨道寿命
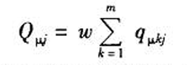
为了确定非标准载荷作用下滚子上的载荷分布,可以将滚子-滚道接触区划分为一系列的薄片。这样,对于长度为l的滚子-滚道接触,如果接触区被划分为m片,每片的宽度为w,则l=mw,而且

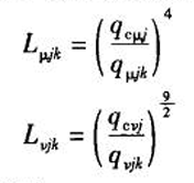
参考此公众号发布的球轴承寿命有关内容,线接触的载荷与寿命之间的关系是1/4指数关系。这样,滚子-滚道接触薄片的寿命为:

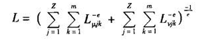
据此,滚子轴承的疲劳寿命可以计算如下:

滚子寿命
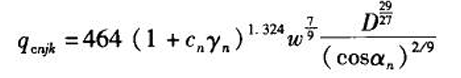
滚子-滚道接触薄片的基本额定动载荷为:

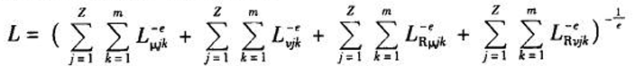
滚子轴承的疲劳寿命(包括滚子的寿命)为:

与球一样,在采用上面的公式时,必须用速度比来降低滚子的寿命。
滚子轴承的游隙

滚动轴承的疲劳寿命与滚动体的最大载荷Qmax有紧密关系。如果Qmax,明显增加时,疲劳寿命就会明显减少。因此,任何影响Qmax的参数都会影响轴承疲劳寿命。径向游隙就是其中的参数之一。下图显示了在不同的径向游隙下载荷区径向载荷投影的变化。

图1 不同径向游隙条件下滚动体的载荷
游隙对疲劳寿命的影响可以采用--种影响系数来表示,即L10c=AcL10。下图给出了寿命减少系数Ac。如上图所示,对于刚性支撑的轴承,Qmax增加,受载滚动体数将相应减少。然而,载荷区减小的影响比载荷Qmax增加的影响要小。

图2 寿命减少系数Ac随径向游隙变化
扫一扫咨询微信客服